Neutral Radiation Ball Solution

[g1] Density Plot

Density Plot of the Neutral Radiation Ball
Parameters: g_* = 4
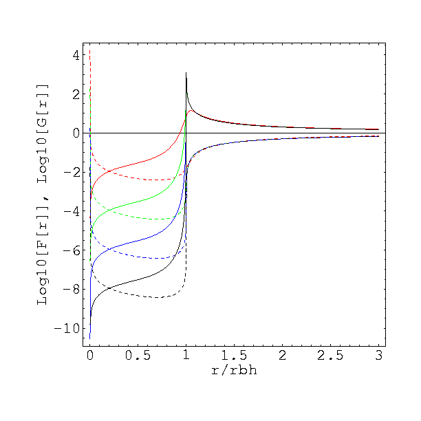
Redrbh = 1 * l_pl
Greenrbh = 10 * l_pl
Bluerbh = 100 * l_pl
Blackrbh = 1000 * l_pl

[g2] Metric Elements

Metric Profile of the Neutral Radiation Ball
Dotted Curves: g_00, Solid Curves: g_rr
Last-update: Nov 16, 2003

Yukinori NAGATANI
Department of Particle Physics
Weizmann Institute of Science
Rehovot 76100, ISRAEL
yukinori.nagatani@weizmann.ac.il