Charged Radiation Ball Solution

[g3] Density Plot

Density Plot of the Charged Radiation Ball
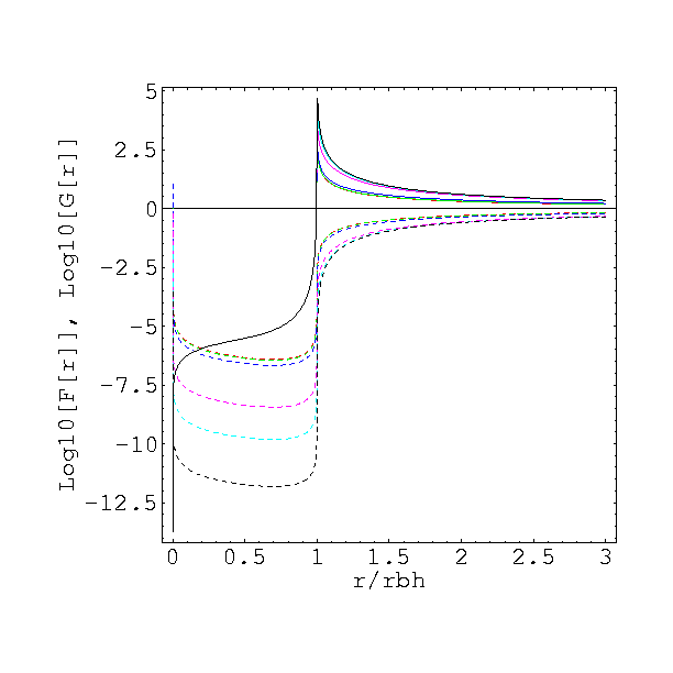
Parameters: rbh = 100 * l_pl
Redq=0
Greenq=0.2
Blueq=0.5
Magentaq=0.9
Cyanq=0.99
Blackq=0.999

[g4] Metric Elements

Metric Profile of the Charged Radiation Ball
Dotted Curves: g_00, Solid Curves: g_rr
Last-update: Nov 16, 2003

Yukinori NAGATANI
Department of Particle Physics
Weizmann Institute of Science
Rehovot 76100, ISRAEL
yukinori.nagatani@weizmann.ac.il